• Предмет: Алгебра
  • Автор: Maryashc
  • Вопрос задан 9 лет назад

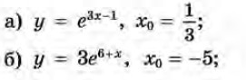
Найдите значение производной заданной функции в указанной точке х0:

Приложения:

Ответы

Ответ дал: kiyasowa
0
а) у'= (e ^(3x-1))'=3e^(3x-1)

y'(1/3)= 3e^0=3
б)y'=(3e^6+x)'=3e^(6+x)
y'(-5)=3e^1=3e


Ответ а) 3   б) 3е
Вас заинтересует