Ответы
Ответ дал:
0
:)
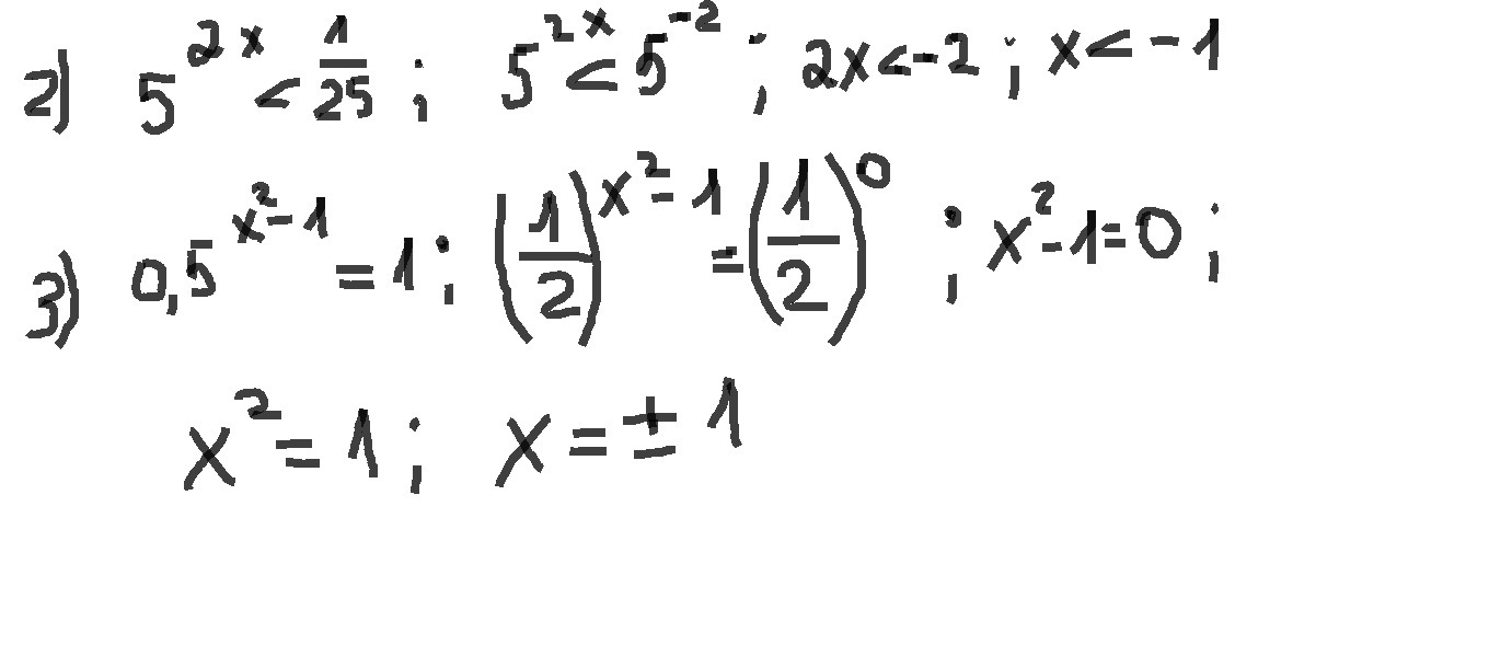
.................................
.................................
Приложения:

Вас заинтересует
2 года назад
2 года назад
7 лет назад
9 лет назад