Ответы
Ответ дал:
0
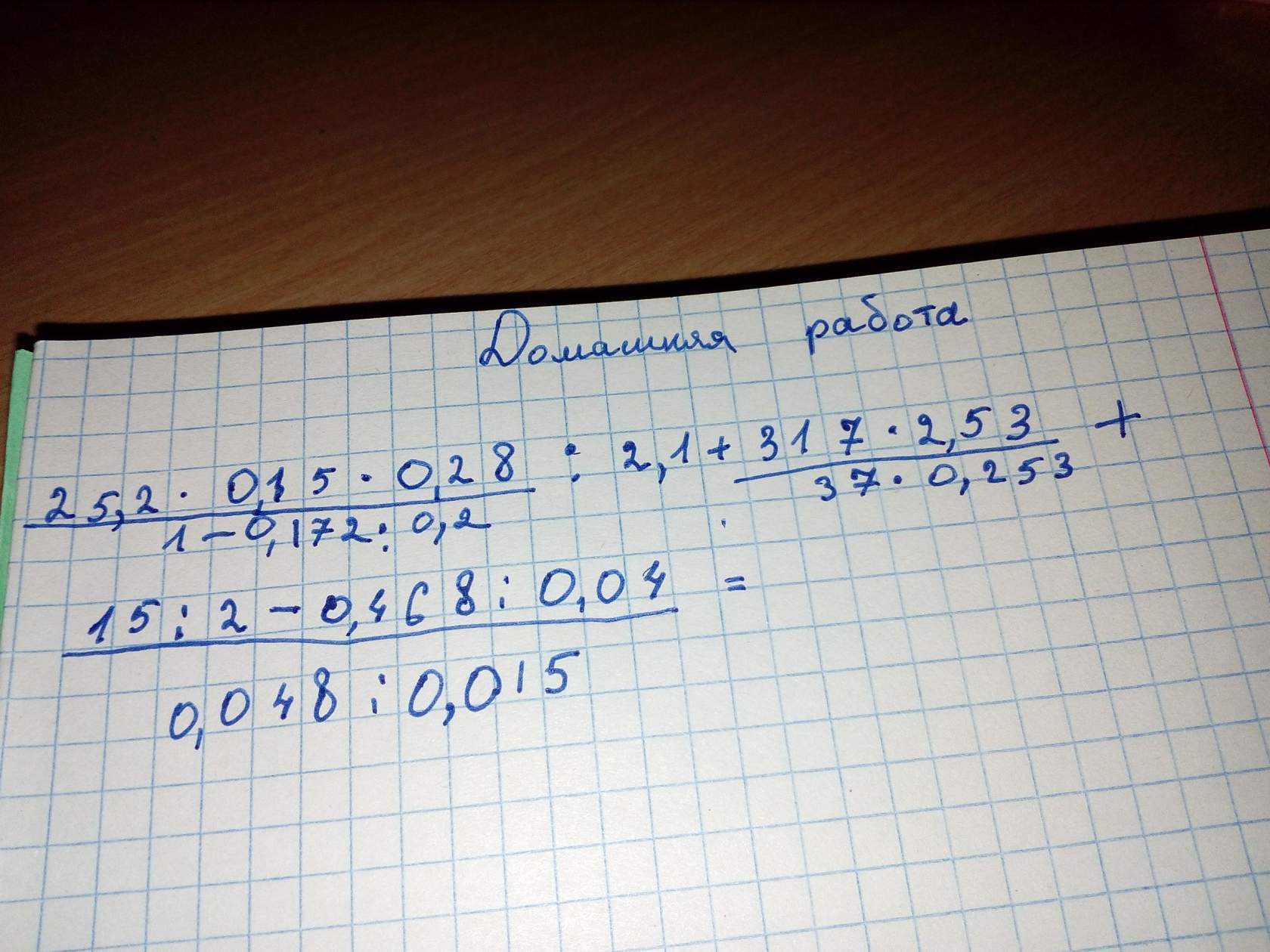
1)25,2*0,15=3,78
2)3,78*0,28=1,0584
3)0,172:0,2=0,86
4)1-0,86=0,14
5)1,0584:0,14=7,56
6)317*2,53=802,01
7)2,1+802,01=804,11
8)37*0,253=9,361
9)804,11:9,361=85,9
10)15:2=7,5
11)0,468:0,04=11,7
12)7,5-11,7=-4,2
13)0,048:0,015=3,2
14)-4,2:3,2=-1,3125
15)7,56:85,9=0,09
16)0,09-1,3125=-1,2225
2)3,78*0,28=1,0584
3)0,172:0,2=0,86
4)1-0,86=0,14
5)1,0584:0,14=7,56
6)317*2,53=802,01
7)2,1+802,01=804,11
8)37*0,253=9,361
9)804,11:9,361=85,9
10)15:2=7,5
11)0,468:0,04=11,7
12)7,5-11,7=-4,2
13)0,048:0,015=3,2
14)-4,2:3,2=-1,3125
15)7,56:85,9=0,09
16)0,09-1,3125=-1,2225
Ответ дал:
0
12 действие неправильно посчитано
Ответ дал:
0
Исправила
Вас заинтересует
2 года назад
2 года назад
7 лет назад
10 лет назад