Ответы
Ответ дал:
0
1
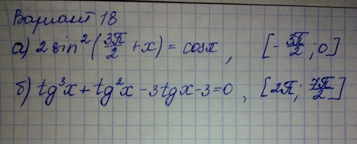
2sin²x(3ππ/2+x)=cosx
2cos²x-cosx=0
cosx(2cosx-1)=0
cosx=0⇒x=π/2+πn,n∈z
-3π/2≤π/2+πn≤0
-3≤1+2n≤0
-4≤2n≤-1
-2≤n≤-1/2
n=-2⇒x=π/2-2π=-3π/2
n=-1⇒x=π/2-π=-π/2
2cosx-1=0
cosx=1/2⇒x=+-π/3+2πn,n∈z
-3π/2≤-π/3+2πn≤0
-9≤-2+12n≤0
-7≤12n≤2
-7/12≤n≤2/12
n=0⇒x=-π/3
-3π/2≤π/3+2πn≤0
-9≤2+12n≤0
-11≤12n≤-2
-11/12≤n≤-2/12 нет решения
2
tg³x+tg²x-3tgx-3=0
tg²(tgx+1)-3(tgx+1)=0
(tgx+1)(tgx-√3)(tgx+√3)=0
tgx+1=0⇒tgx=-1⇒x=-π/4+πn,n∈z
2π≤-π/4+πn≤7π/2
8≤-1+4n≤14
9≤4n≤15
9/4≤n≤15/4
n=3⇒x=-π/4+3π=11π/4
tgx-√3=0⇒tgx=√3⇒x=π/3+πn,n∈z
2π≤π/3+πn≤7π/2
12≤2+6n≤21
10≤6n≤19
10/6≤n≤19/6
n=2⇒x=π/3+2π=7π/3
n=3⇒x=π/3+3π=10π/3
tgx+√3=0⇒tgx=-√3⇒x=-π/3+πn,n∈z
2π≤-π/3+πn≤7π/2
12≤-2+6n≤21
14≤6n≤23
14/6≤n≤23/6
n=3⇒x=-π/3+3π=8π/3
2sin²x(3ππ/2+x)=cosx
2cos²x-cosx=0
cosx(2cosx-1)=0
cosx=0⇒x=π/2+πn,n∈z
-3π/2≤π/2+πn≤0
-3≤1+2n≤0
-4≤2n≤-1
-2≤n≤-1/2
n=-2⇒x=π/2-2π=-3π/2
n=-1⇒x=π/2-π=-π/2
2cosx-1=0
cosx=1/2⇒x=+-π/3+2πn,n∈z
-3π/2≤-π/3+2πn≤0
-9≤-2+12n≤0
-7≤12n≤2
-7/12≤n≤2/12
n=0⇒x=-π/3
-3π/2≤π/3+2πn≤0
-9≤2+12n≤0
-11≤12n≤-2
-11/12≤n≤-2/12 нет решения
2
tg³x+tg²x-3tgx-3=0
tg²(tgx+1)-3(tgx+1)=0
(tgx+1)(tgx-√3)(tgx+√3)=0
tgx+1=0⇒tgx=-1⇒x=-π/4+πn,n∈z
2π≤-π/4+πn≤7π/2
8≤-1+4n≤14
9≤4n≤15
9/4≤n≤15/4
n=3⇒x=-π/4+3π=11π/4
tgx-√3=0⇒tgx=√3⇒x=π/3+πn,n∈z
2π≤π/3+πn≤7π/2
12≤2+6n≤21
10≤6n≤19
10/6≤n≤19/6
n=2⇒x=π/3+2π=7π/3
n=3⇒x=π/3+3π=10π/3
tgx+√3=0⇒tgx=-√3⇒x=-π/3+πn,n∈z
2π≤-π/3+πn≤7π/2
12≤-2+6n≤21
14≤6n≤23
14/6≤n≤23/6
n=3⇒x=-π/3+3π=8π/3
Вас заинтересует
2 года назад
2 года назад
7 лет назад
10 лет назад
10 лет назад
10 лет назад