Помогите решить: y=6 cos x - 27x/pi+4
Давно производные не повторяла, можете ли написать алгоритм решения, пожалуйста.
Ответы
Ответ дал:
0
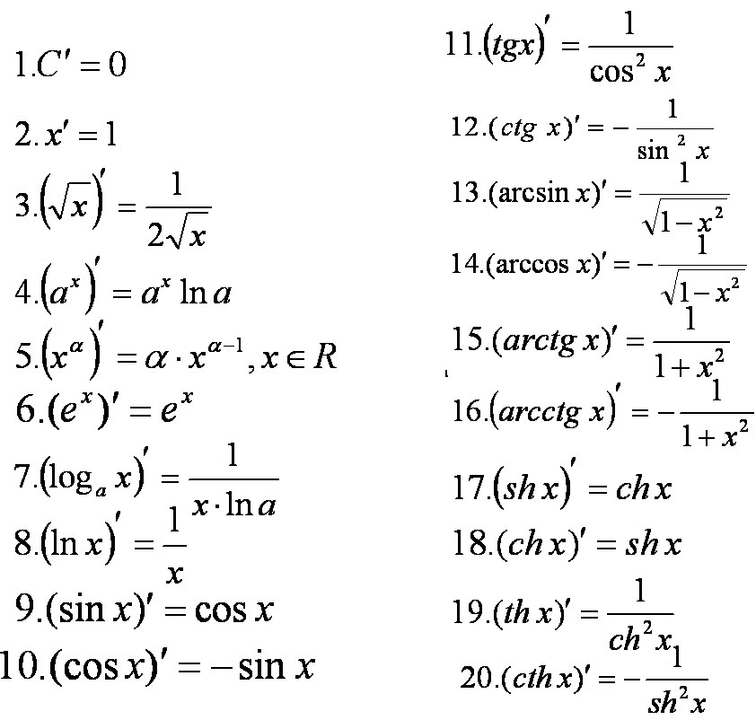
Таблица производных (см фото)
y ' = (6 cosx - 27x/pi + 4) ' = - 6sinx - 27/pi
y ' = (6 cosx - 27x/pi + 4) ' = - 6sinx - 27/pi
Приложения:
Вас заинтересует
3 года назад
7 лет назад
10 лет назад
10 лет назад
10 лет назад