• Предмет: Математика
  • Автор: trol2525
  • Вопрос задан 9 лет назад

Помогите решить, пожалуйста!!

Приложения:

Ответы

Ответ дал: IrkaShevko
0
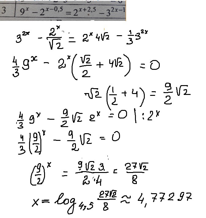
9^x+9^{x-0,5}=2^{x+2,5}+2^{x-0,5}\
9^{x}(1+ frac{1}{3})=2^x(4 sqrt{2}  + frac{ sqrt{2} }{2} )\
 (frac{9}{2} )^x =  frac{27 sqrt{2} }{8}\
x = log_{ frac{9}{2} }(( frac{9}{2} )^{frac{3}{2}} * frac{1}{2} )=\
=1,5-log_{ frac{9}{2}}2
Ответ дал: IrkaShevko
0
разделили на 2^x, и разделили на 4/3
Ответ дал: bzsr1
0
На ЕГЭ такого не будет.
Пришлось ответ проверять по wolfram alpha
Сошлось
Приложения:
Вас заинтересует