Ответы
Ответ дал:
0
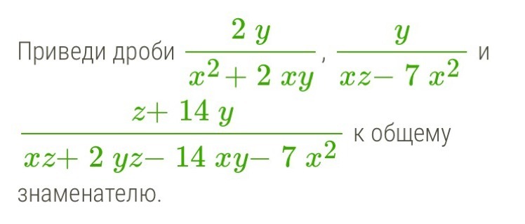
Раскладываем на множители знаменатель первой дроби.
x^2 + 2xy = x(x + 2y)
Теперь второй знаменатель.
xz - 7x^2 = x(z - 7x)
И третий
xz + 2yz - 14xy - 7x^2 = (xz + 2yz) - (14xy - 7x^2) = z(x + 2y) - 7x(2y + x) = (2y +x)(z - 7x)
Теперь "соединяем" все эти знаменатели и получаем общий x(x + 2y)(x - 7x)
x^2 + 2xy = x(x + 2y)
Теперь второй знаменатель.
xz - 7x^2 = x(z - 7x)
И третий
xz + 2yz - 14xy - 7x^2 = (xz + 2yz) - (14xy - 7x^2) = z(x + 2y) - 7x(2y + x) = (2y +x)(z - 7x)
Теперь "соединяем" все эти знаменатели и получаем общий x(x + 2y)(x - 7x)
Ответ дал:
0
Можете ещё кое что решить ? Пожалуйста?
Вас заинтересует
2 года назад
7 лет назад
7 лет назад
10 лет назад
10 лет назад
10 лет назад
10 лет назад