Ответы
Ответ дал:
0
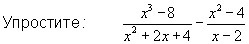
(x³-8)/(x²+2x+4)-(x²-4)/(x-2)=
(x³-2³)/(x²+2x+4)-(x²-2²)/(x-2)=
(x-2)(x²+2x+4)/(x²+2x+4)-(x-2)(x+2)/(x-2)=
(x-2)-(x+2)=
x-2-x-2=-4
(x³-2³)/(x²+2x+4)-(x²-2²)/(x-2)=
(x-2)(x²+2x+4)/(x²+2x+4)-(x-2)(x+2)/(x-2)=
(x-2)-(x+2)=
x-2-x-2=-4
Вас заинтересует
3 года назад
7 лет назад
10 лет назад
10 лет назад
10 лет назад