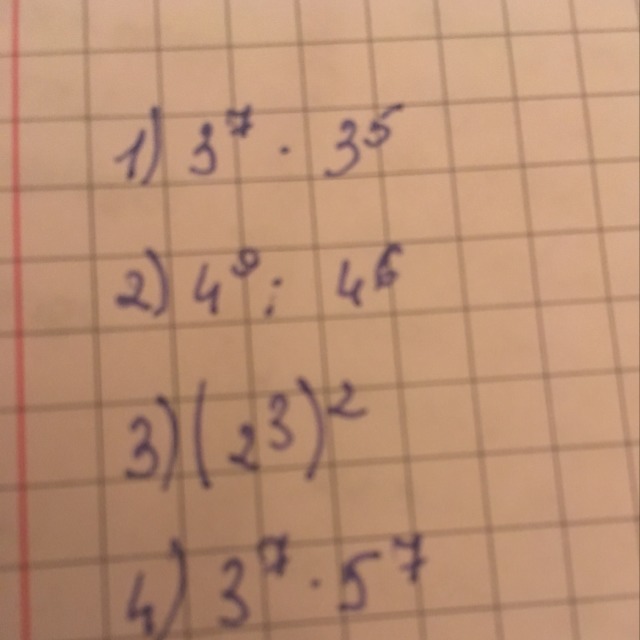
Представить в виде степени выражение:
Объясните как это делать, я тупенький чуть-чуть.
Приложения:
Ответы
Ответ дал:
0
Если умножаются числа со степенями, значит степени нужно сложить
Если делятся, то степени нужно отнять друг от друга
Если умножаются степени, как в 3 примере, значит, умножай степени
Если числа разные, а степени одинаковые - умножай только числа, а степени оставляй такими же
Если делятся, то степени нужно отнять друг от друга
Если умножаются степени, как в 3 примере, значит, умножай степени
Если числа разные, а степени одинаковые - умножай только числа, а степени оставляй такими же
Приложения:
Вас заинтересует
2 года назад
2 года назад
7 лет назад
7 лет назад
10 лет назад
10 лет назад
10 лет назад