Ответы
Ответ дал:
0
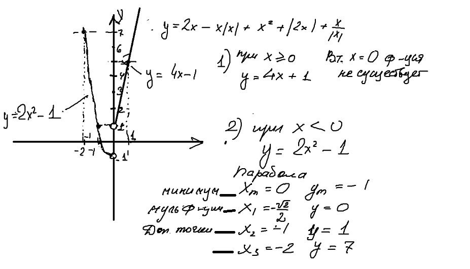
В т х=0 функция не существует
Слева от х=0 парабола, сжатая в 2 раза по оси х и опущенная на 1.
Справа - прямая.
Слева от х=0 парабола, сжатая в 2 раза по оси х и опущенная на 1.
Справа - прямая.
Приложения:

Вас заинтересует
2 года назад
2 года назад
7 лет назад
7 лет назад
9 лет назад
10 лет назад