• Предмет: Алгебра
  • Автор: ershovaket
  • Вопрос задан 9 лет назад

Вычислите интеграл, с подробностями, если можно, пожалуйста

Приложения:

Ответы

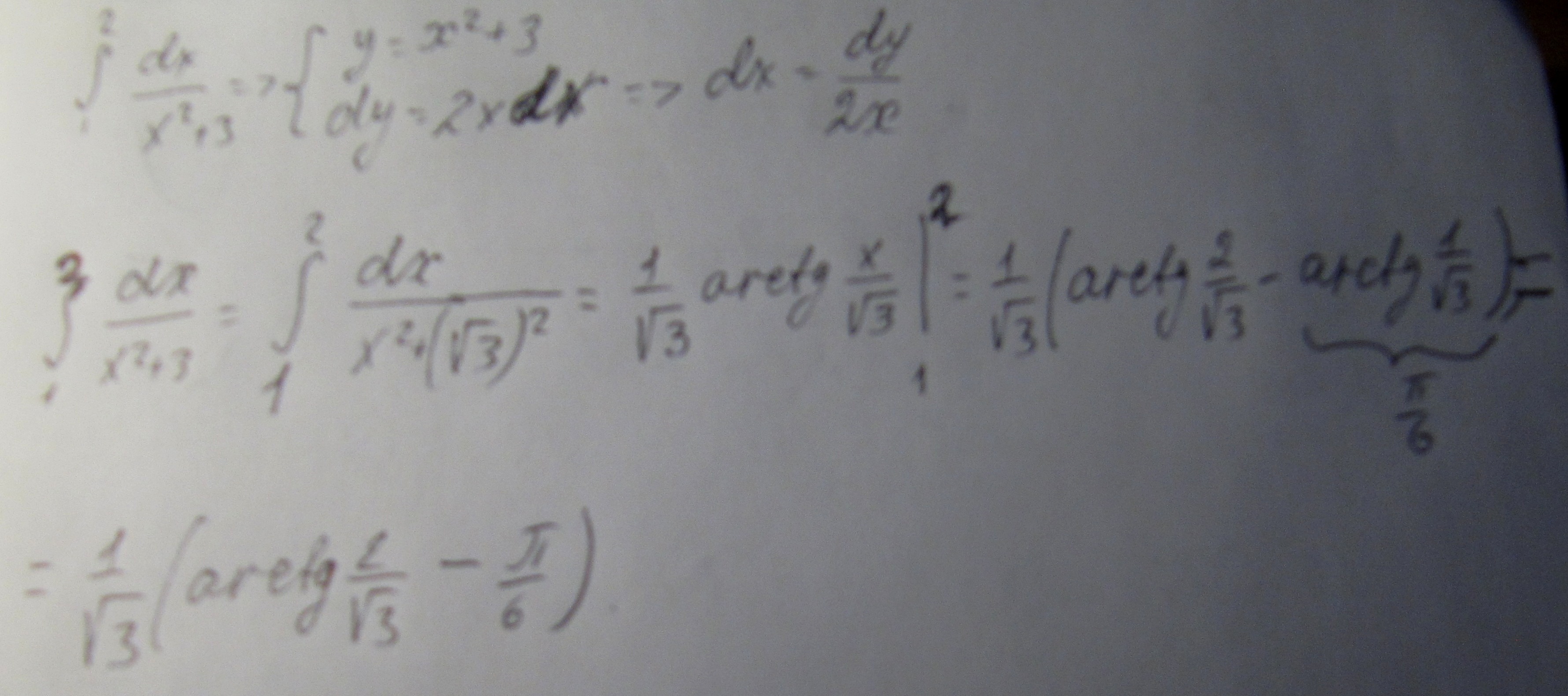
Ответ дал: ShirokovP
0
см фото
========================
Приложения:
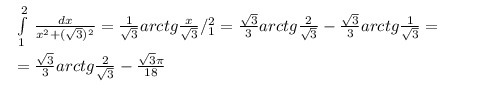
Ответ дал: Amigo3
0
Решение в отдельном файле.
Приложения:
Вас заинтересует