• Предмет: Алгебра
  • Автор: ershovaket
  • Вопрос задан 9 лет назад

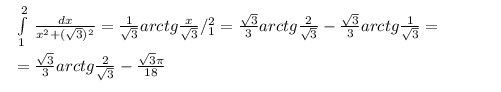
Вычислите интеграл, с подробностями, если можно, пожалуйста

Приложения:

Ответы

Ответ дал: ShirokovP
0
см фото
==========================
Приложения:
Вас заинтересует