• Предмет: Математика
  • Автор: ДашаЛисюткина
  • Вопрос задан 9 лет назад

Математика 11 класс, задания в фотографии

Приложения:

Ответы

Ответ дал: Trover
0
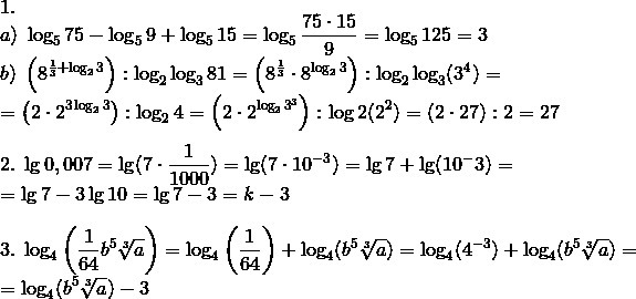
1.\a);log_575-log_59+log_515=log_5frac{75cdot15}9=log_5125=3\b);left(8^{frac13+log_23}right):log_2log_381=left(8^{frac13}cdot8^{log_23}right):log_2log_3(3^4)=\=left(2cdot2^{3log_23}right):log_24=left(2cdot2^{log_23^3}right):log2(2^2)=left(2cdot27right):2=27\\2.;lg0,007=lg(7cdotfrac1{1000})=lg(7cdot10^{-3})=lg7+lg(10^-3)=\=lg7-3lg10=lg7-3=k-3

3.;log_4left(frac1{64}b^5sqrt[3]aright)=log_4left(frac1{64}right)+log_4(b^5sqrt[3]a)=log_4(4^{-3})+log_4(b^5sqrt[3]a)=\=log_4(b^5sqrt[3]a)-3
Приложения:
Вас заинтересует