• Предмет: Алгебра
  • Автор: 5zANGELz5
  • Вопрос задан 9 лет назад

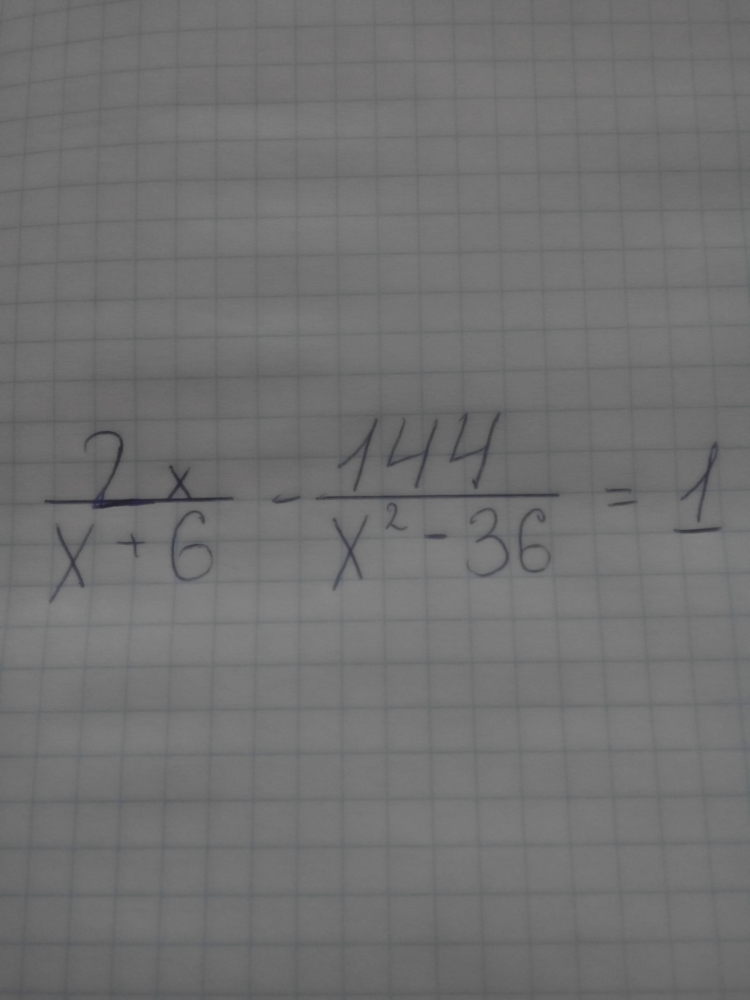
ПОМОГИТЕ РЕШИТЬ УРАВНЕНИЕ ЧЕРЕЗ ДИСКРИМИНАНТ)) ПОЖАЛУЙСТА))))))

Приложения:

Ответа на этот вопрос пока нет. Попробуйте найти его через форму поиска.

Вас заинтересует