• Предмет: Математика
  • Автор: Аноним
  • Вопрос задан 9 лет назад

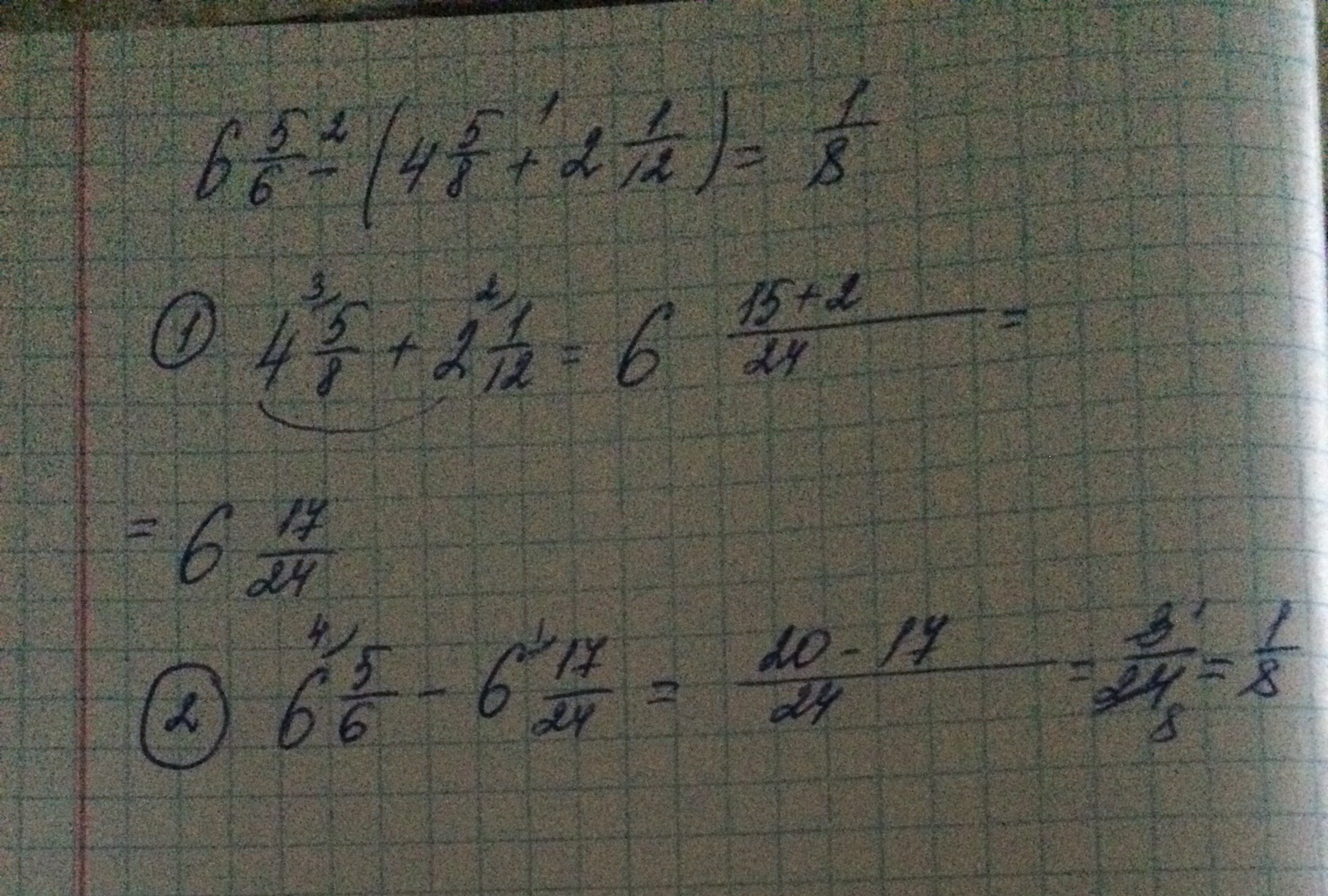
помогите с примерам 6 целых 5/6-(4 целых 5/8+2 целфх 1/12,роспишите по действиям

Ответы

Ответ дал: Vikkyy
0
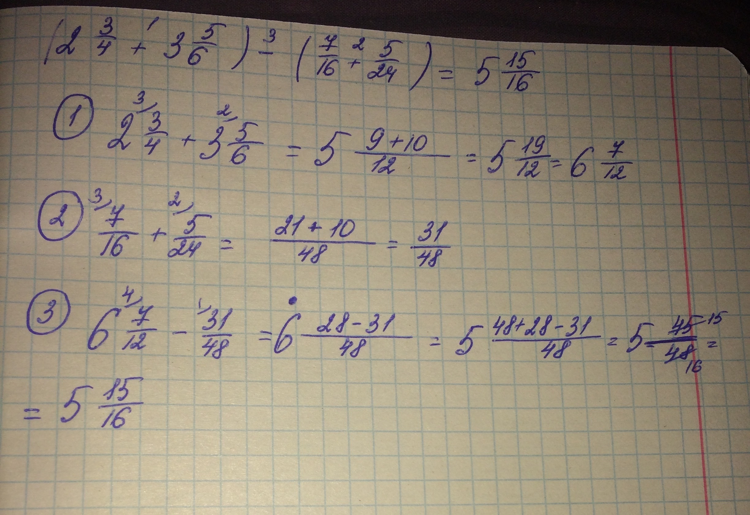
Смотри фото с решением ниже
Приложения:
Ответ дал: Vikkyy
0
+++
Ответ дал: Аноним
0
спс
Вас заинтересует