• Предмет: Алгебра
  • Автор: Bantan1
  • Вопрос задан 9 лет назад

х2-7х+2=0
пожалуйста помогите

Ответы

Ответ дал: dtnth
0
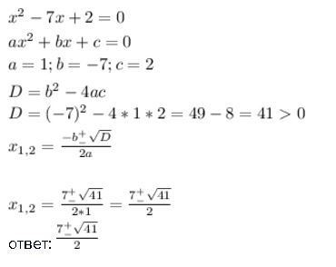
x^2-7x+2=0
ax^2+bx+c=0
a=1; b=-7; c=2
D=b^2-4ac
D=(-7)^2-4*1*2=49-8=41>0
x_{1,2}=frac{-b^+_-sqrt{D}}{2a}

x_{1,2}=frac{7^+_-sqrt{41}}{2*1}=frac{7^+_-sqrt{41}}{2}
ответ: frac{7^+_-sqrt{41}}{2}
Приложения:
Вас заинтересует