• Предмет: Математика
  • Автор: efimenkolilija
  • Вопрос задан 9 лет назад

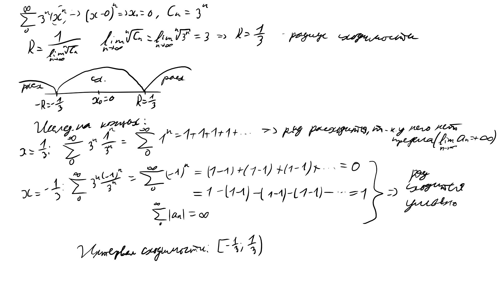
Помогите определить радиус сходимости и область сходимости ряда
∑3^n*x^n, вверху ∞, внизу n=0

Ответы

Ответ дал: ayamandelstam
0
Удачи там с экзаменом.
Приложения:
Вас заинтересует