• Предмет: Геометрия
  • Автор: 921063
  • Вопрос задан 9 лет назад

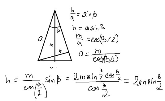
Угол при вершине равнобедренного треугольника бета, а высота проведенная к основанию, равна m. Найдите высоту, проведенную к боковой стороне. (Выберите ответ из прикрепленной картинки)

Приложения:

Ответы

Ответ дал: bzsr1
0
ответ первый. Решение вложено
Приложения:
Ответ дал: Yana034
0
У меня вышел самый первый ответ
Приложения:
Вас заинтересует