• Предмет: Алгебра
  • Автор: Arslan202
  • Вопрос задан 9 лет назад

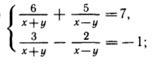
даю 33 балла, помогите пожалуйста с системой, там один корень

Приложения:

Ответа на этот вопрос пока нет. Попробуйте найти его через форму поиска.

Вас заинтересует