Ответы
Ответ дал:
0
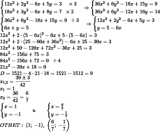
Умножаем первое уравнение на 3, второе на 2. Вычитаем из первого уравнения второе, выражаем оттуда y, подставляем его в первое и находим x.


Приложения:
Вас заинтересует
3 года назад
7 лет назад
7 лет назад
10 лет назад
10 лет назад
10 лет назад