• Предмет: Алгебра
  • Автор: polina22232
  • Вопрос задан 9 лет назад

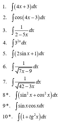
интегралы, помогите. если возможно решите по подробнее

Приложения:

Ответы

Ответ дал: karlmikhailoff
0
на фото
..........................
Приложения:
Вас заинтересует