Ответы
Ответ дал:
0
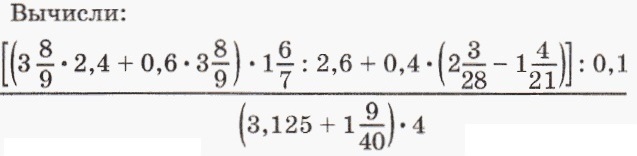
1) 3 8/9*2 4/10 = 35/9*24/10= 35 *· 24/9 * 10= 840/90= 9 1/3
2) 3 8/9 * 6/10 = 35/9 * 6/10 = 35*6/9*10 = 210/90 = 2 1/3
3) 9 1/3 + 2 1/3 = 11 2/3
4) 2 3/28 - 1 4/21 = 59/28 - 25/21 = 177-100/84 = 77/84 = 11/12
5) 11 2/3 * 1 6/7 = 35/3*13/7 = 455/21 = 65/3 = 21 2/3
6) 21 2/3 : 2 6/10 = 65/3 * 10/26 =650/78 = 25/3 = 8 1/3
7) 4/10 * 11/12 = 44/120 = 11/30
8) 8 1/3 + 11/30 = 25/3 + 11/30 = 250/30 + 11/30 = 261/30 = 8 7/10
9) 8 7/10 : 1/10 = 87/10 * 10/1 = 870/10 = 87
Числитель нашли, находим знаменатель:
1)3 125/100+1 9/40 = 425/100+49/40=850/200+245/200=1095/200 = 5 19/40
2) 5 19/40 *4= 219/40*4/1 = 876/40 = 21 9/10
Получили:
87 : 21 9/10 = 87/1 * 10/219 = 870/219 = 290/73 = 3 71/73
Ответ: 3 71/73
2) 3 8/9 * 6/10 = 35/9 * 6/10 = 35*6/9*10 = 210/90 = 2 1/3
3) 9 1/3 + 2 1/3 = 11 2/3
4) 2 3/28 - 1 4/21 = 59/28 - 25/21 = 177-100/84 = 77/84 = 11/12
5) 11 2/3 * 1 6/7 = 35/3*13/7 = 455/21 = 65/3 = 21 2/3
6) 21 2/3 : 2 6/10 = 65/3 * 10/26 =650/78 = 25/3 = 8 1/3
7) 4/10 * 11/12 = 44/120 = 11/30
8) 8 1/3 + 11/30 = 25/3 + 11/30 = 250/30 + 11/30 = 261/30 = 8 7/10
9) 8 7/10 : 1/10 = 87/10 * 10/1 = 870/10 = 87
Числитель нашли, находим знаменатель:
1)3 125/100+1 9/40 = 425/100+49/40=850/200+245/200=1095/200 = 5 19/40
2) 5 19/40 *4= 219/40*4/1 = 876/40 = 21 9/10
Получили:
87 : 21 9/10 = 87/1 * 10/219 = 870/219 = 290/73 = 3 71/73
Ответ: 3 71/73
Ответ дал:
0
Пожалуйста!!!
Вас заинтересует
2 года назад
7 лет назад
7 лет назад
10 лет назад
10 лет назад