• Предмет: Химия
  • Автор: krysolov1
  • Вопрос задан 9 лет назад

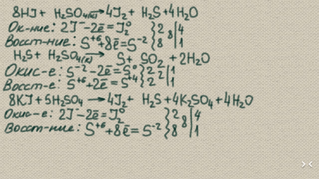
Напишите уравнения реакций окисления концентрированной серной кислотой иодоводорода, сероводорода, иодида калия

Ответы

Ответ дал: Trawushka
0
...................................
Приложения:
Вас заинтересует