• Предмет: Алгебра
  • Автор: petrunin2002
  • Вопрос задан 9 лет назад

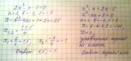
Решите уравнения: а) 2х²-х-3=0 б) х²-х=2х-5

Ответы

Ответ дал: matilda17562
0
Решение во вложенном изображении
Приложения:
Вас заинтересует