Ответы
Ответ дал:
0
держи
-----------------
-----------------
Приложения:
Ответ дал:
0
то есть тут 2 решения так ведь?
Ответ дал:
0
да тут 2 решения
Ответ дал:
0
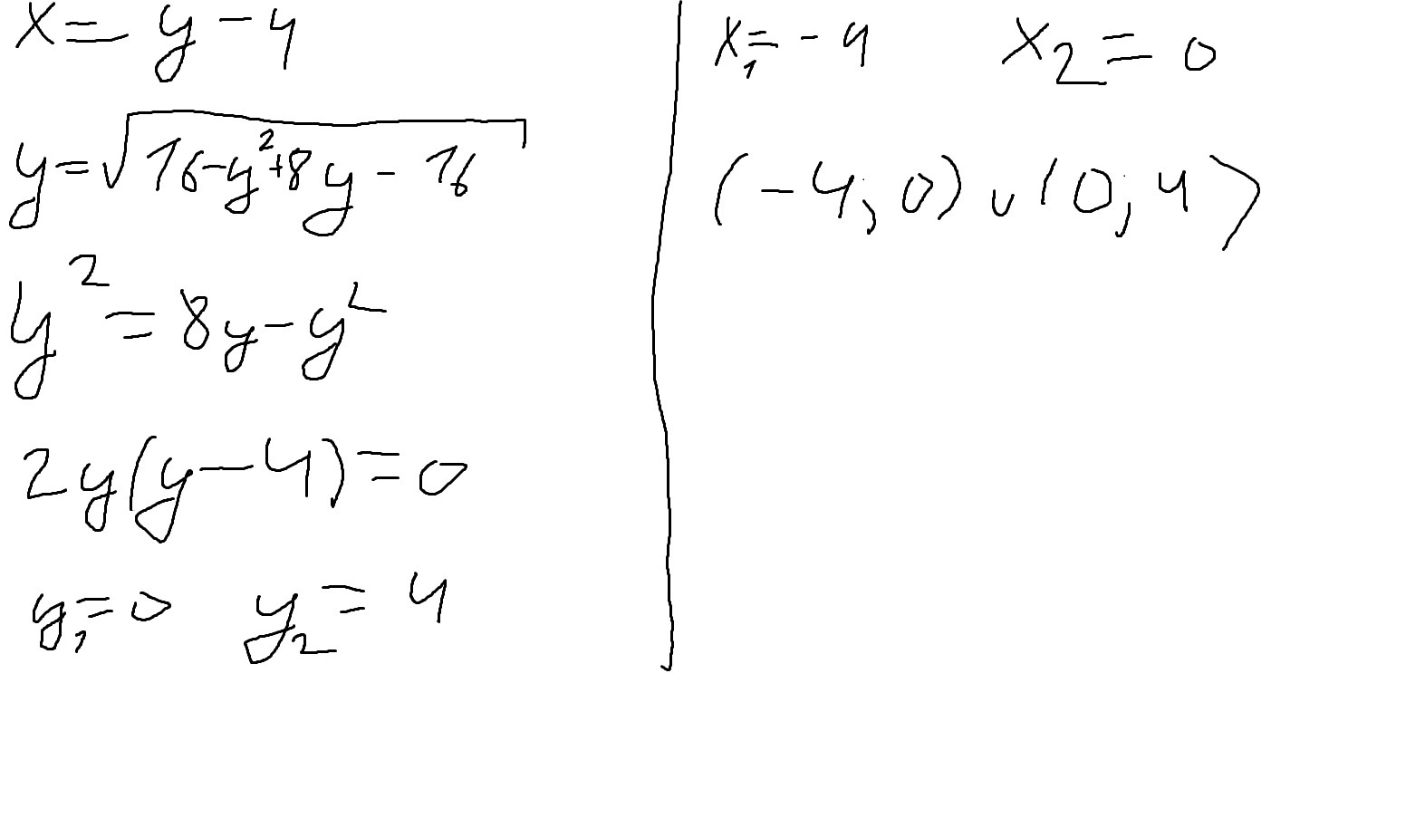
y=√(16-x²) (1)
y-x=4 (2)
---------------
y≥0 16-x²≥0 -4≤x≤4
в кавдрат первое и второе
y²=16-x²
y²-2xy+x²=16
y²+x²-16=0
y²+x²-16=2xy
2xy=0
x=0 y=4
y=0 x=-4
(0 4) (-4 0)
y-x=4 (2)
---------------
y≥0 16-x²≥0 -4≤x≤4
в кавдрат первое и второе
y²=16-x²
y²-2xy+x²=16
y²+x²-16=0
y²+x²-16=2xy
2xy=0
x=0 y=4
y=0 x=-4
(0 4) (-4 0)
Приложения:
Ответ дал:
0
спасибо, то есть тут два решения системы?
Вас заинтересует
7 лет назад
7 лет назад
10 лет назад
10 лет назад
10 лет назад
10 лет назад