Zn + HNO3 → Zn(NO3)2 + N2O + H2O;
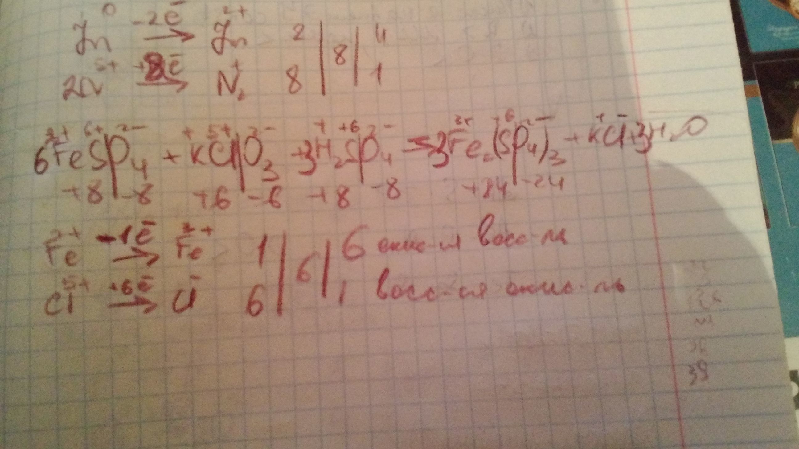
FeSO4 + KClO3 + H2SO4 → Fe2(SO4)3 + KCl + H2O
расставить степени окисления и уравнять
Ответы
Ответ дал:
0
4Zn(0)+ 10H(+)(N(+5)O(-2)3)2=> 4Zn(2+)(N(+5)O(-2)3)2+5H(+)2O(-2)+ N(+)2O(2-) ;
То , что в скобках (+,-,2- и т.д это пишется сверху элемента)
Zn(0)=>Zn(+2) ( изменение на -2е) 2 8 4 оксис-ся восст-ль
2N(+5)=>N(+)2 (изменение на +8е) 8 8 1 восс-ся окис-ль
2-
То , что в скобках (+,-,2- и т.д это пишется сверху элемента)
Zn(0)=>Zn(+2) ( изменение на -2е) 2 8 4 оксис-ся восст-ль
2N(+5)=>N(+)2 (изменение на +8е) 8 8 1 восс-ся окис-ль
2-
Приложения:

Вас заинтересует
2 года назад
2 года назад
7 лет назад
7 лет назад
9 лет назад
9 лет назад
10 лет назад