• Предмет: Математика
  • Автор: razumova22
  • Вопрос задан 9 лет назад

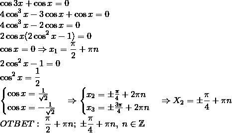
помогите пожалуйста.срочно нужно cos3x+cosx=0

Ответы

Ответ дал: Trover
0
Корни x2 и x3 объединяем в один корень X2

cos3x+cos x=0\4cos^3x-3cos x+cos x=0\4cos^3x-2cos x=0\2cos x(2cos^2x-1)=0\cos x=0Rightarrow x_1=fracpi2+pi n\2cos^2x-1=0\cos^2x=frac12\begin{cases}cos x=frac1{sqrt2}\cos x=-frac1{sqrt2}end{cases}Rightarrowbegin{cases}x_2=pmfracpi4+2pi n\x_3=pmfrac{3pi}4+2pi nend{cases}Rightarrow X_2=pmfracpi4+pi n\\OTBET:;fracpi2+pi n;;pmfracpi4+pi n,;ninmathbb{Z}.
Приложения:
Вас заинтересует