Ответы
Ответ дал:
0
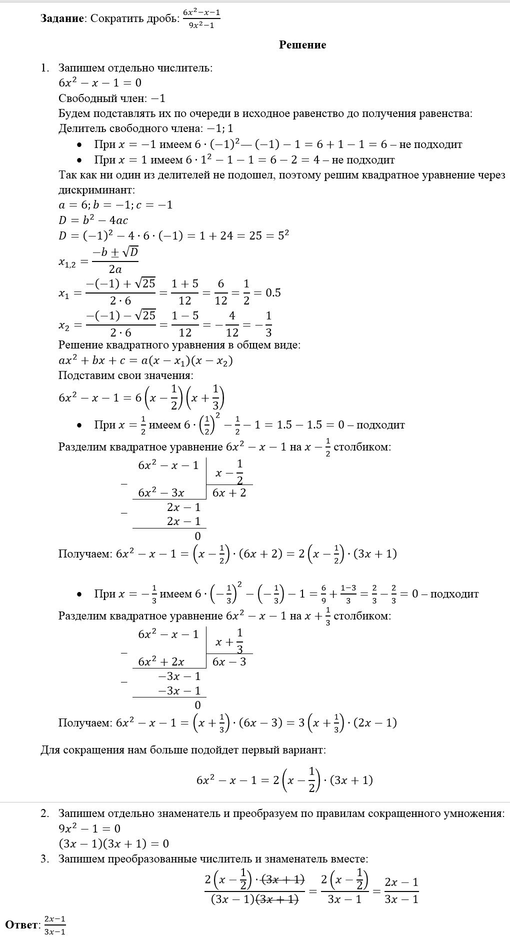
Ответ: (2x-1)/(3x-1)
Полное решение в приложении. Во всех документах одна и та же информация, смотри в чем удобнее
Полное решение в приложении. Во всех документах одна и та же информация, смотри в чем удобнее
Приложения:

Ответ дал:
0
Рад был помочь
Вас заинтересует
2 года назад
2 года назад
7 лет назад
7 лет назад
9 лет назад
10 лет назад