• Предмет: Алгебра
  • Автор: vovolkova
  • Вопрос задан 9 лет назад

найти логарифм 9 по основанию 36, если логарифм 8 по основанию 36 равна m

Ответы

Ответ дал: dtnth
0
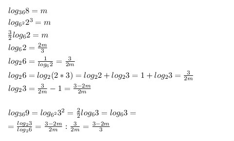
log_{36} 8=m
log_{6^2} 2^3=m
frac{3}{2}log_{6} 2=m
log_6 2=frac{2m}{3}
log_2 6=frac{1}{log_6 2}=frac{3}{2m}
log_2 6=log_2 (2*3)=log_2 2+log_2 3=1+log_2 3=frac{3}{2m}
log_2 3=frac{3}{2m}-1=frac{3-2m}{2m}

log_{36} 9=log_{6^2} 3^2=frac{2}{2} log_6 3=log_6 3=
=frac{log_2 3}{log_2 6}=frac{3-2m}{2m}:frac{3}{2m}=frac{3-2m}{3}
Приложения:
Вас заинтересует