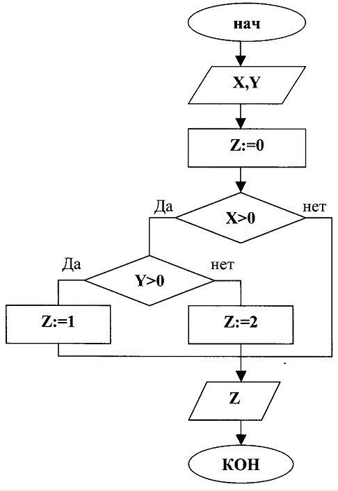
Знатоки алгоритмов, помогите! Нужно составить алгоритм по блоксхеме и написать, для чего нужна данная программа.
Очень надеюсь на вашу помощь.
Приложения:

Ответа на этот вопрос пока нет. Попробуйте найти его через форму поиска.
Вас заинтересует
2 года назад
2 года назад
7 лет назад
9 лет назад
10 лет назад