Ответы
Ответ дал:
0
так как основания одинаковые то
2х+3=6-х
2х+х=6-3
3х=3
х=1
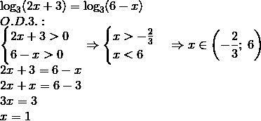
2х+3=6-х
2х+х=6-3
3х=3
х=1
Ответ дал:
0
Приложения:

Вас заинтересует
2 года назад
7 лет назад
7 лет назад
9 лет назад