Ответы
Ответ дал:
0
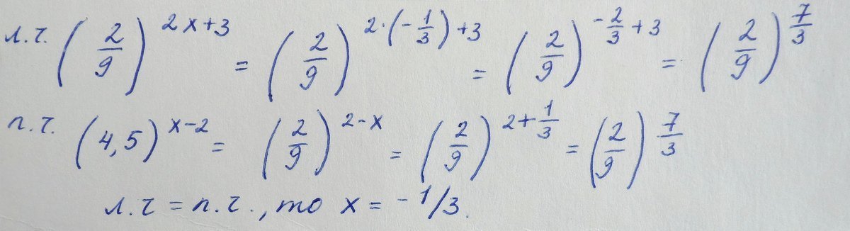
Решение прикреплёно файлом
Приложения:


Вас заинтересует
2 года назад
7 лет назад
7 лет назад
9 лет назад
10 лет назад