Ответы
Ответ дал:
0
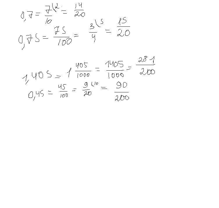
решение в приложенном файле, в первом случае знаменатель-20, во втором -200
Приложения:

Вас заинтересует
2 года назад
7 лет назад
7 лет назад
9 лет назад
10 лет назад
10 лет назад