Ответы
Ответ дал:
0
Ответ дал:
0
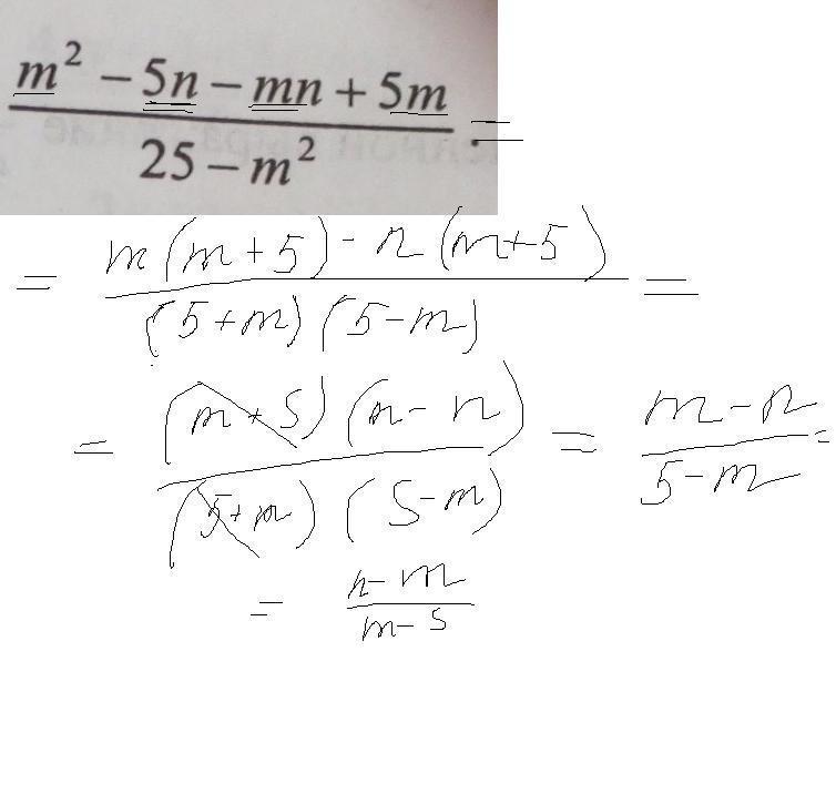
правильный ответ С, решение в приложенном файле
Приложения:

Вас заинтересует
2 года назад
7 лет назад
9 лет назад
10 лет назад