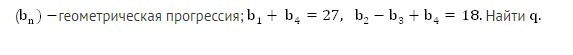
Ответы
Ответ дал:
0
Как я понял тебе нужно объяснение если я не вижу задание?
Геометрическая прогрессия — последовательность чисел, в которой каждое
последующее число, начиная со второго, получается из предыдущего
умножением его на определенное число, не равное нулю......
Геометрическая прогрессия — последовательность чисел, в которой каждое
последующее число, начиная со второго, получается из предыдущего
умножением его на определенное число, не равное нулю......
Ответ дал:
0
Задание есть,обнови страницу
Вас заинтересует
2 года назад
2 года назад
7 лет назад
10 лет назад