• Предмет: Алгебра
  • Автор: paklin
  • Вопрос задан 11 лет назад

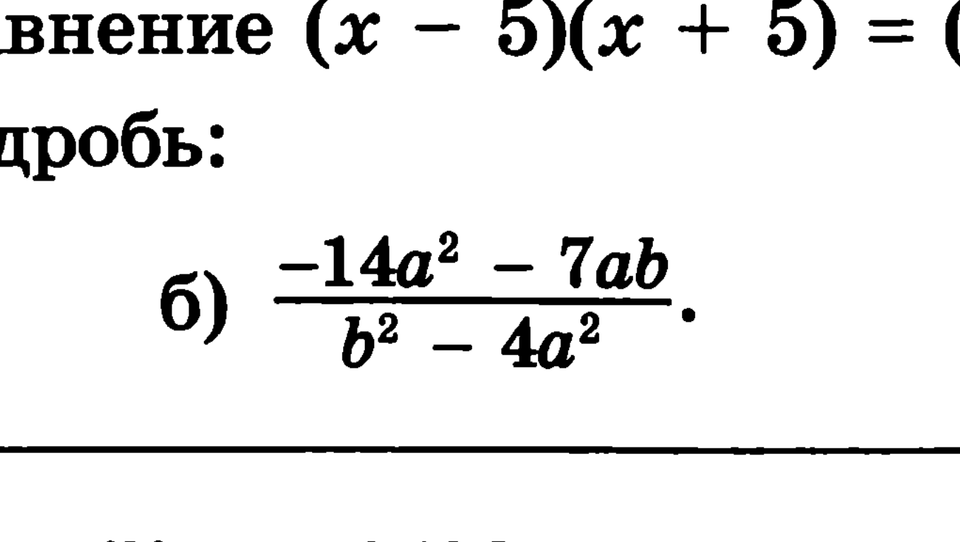
сократите дробь более побробно расписать

Приложения:

Ответы

Ответ дал: Проля
0

1)Сокращаем буквы и числа=5х*23у

-дробь

2)Выносим за скобку общий множитель

Вверху:-7а(2а+б)

 

 Внизу:

 

Разложим по формуле:

(б-2а)(б+2а)

Сократим (б+2а)

=-7аб-2а

 

 

 

 

 

 

 

 

Вас заинтересует