• Предмет: Математика
  • Автор: JustAngelina
  • Вопрос задан 9 лет назад

Логарифмы.Номер 123 .Подалуйста,решите,кто знает как.Заранее спасибо.

Приложения:

Ответы

Ответ дал: Trover
0
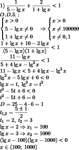
1);frac1{5-lg x}+frac2{1+lg x} textless  1\O.D.3.:\begin{cases}x textgreater  0\5-lg xneq0\1+lg xneq0end{cases}Rightarrowbegin{cases}x textgreater  0\xneq100000\xneq0,1end{cases}\frac{1+lg x+10-2lg x}{(5-lg x)(1+lg x)} textless  1\frac{11-lg x}{5+4lg x-lg^2x} textless  1\11-lg x textless  5+4lg x-lg^2x\lg^2x-5lg x+6 textless  0\lg x=t,;lg^2x=t^2\t^2-5t+6 textless  0\t^2-5t+6=0\D=25-4cdot6=1\t_{1,2}=frac{5pm1}2\t_1=2,;t_2=3\lg x=2Rightarrow x_1=100\lg x=3Rightarrow x_2=1000\(lg x-100)(lg x-1000) textless  0\xin(100;;1000)


Приложения:
Вас заинтересует