Помогите пожалуйста, алгебра, 11 класс
3. Найдите первообразную функцию f(x)= 3x^2-4x+5, график которой проходит через точку М (2, -7)
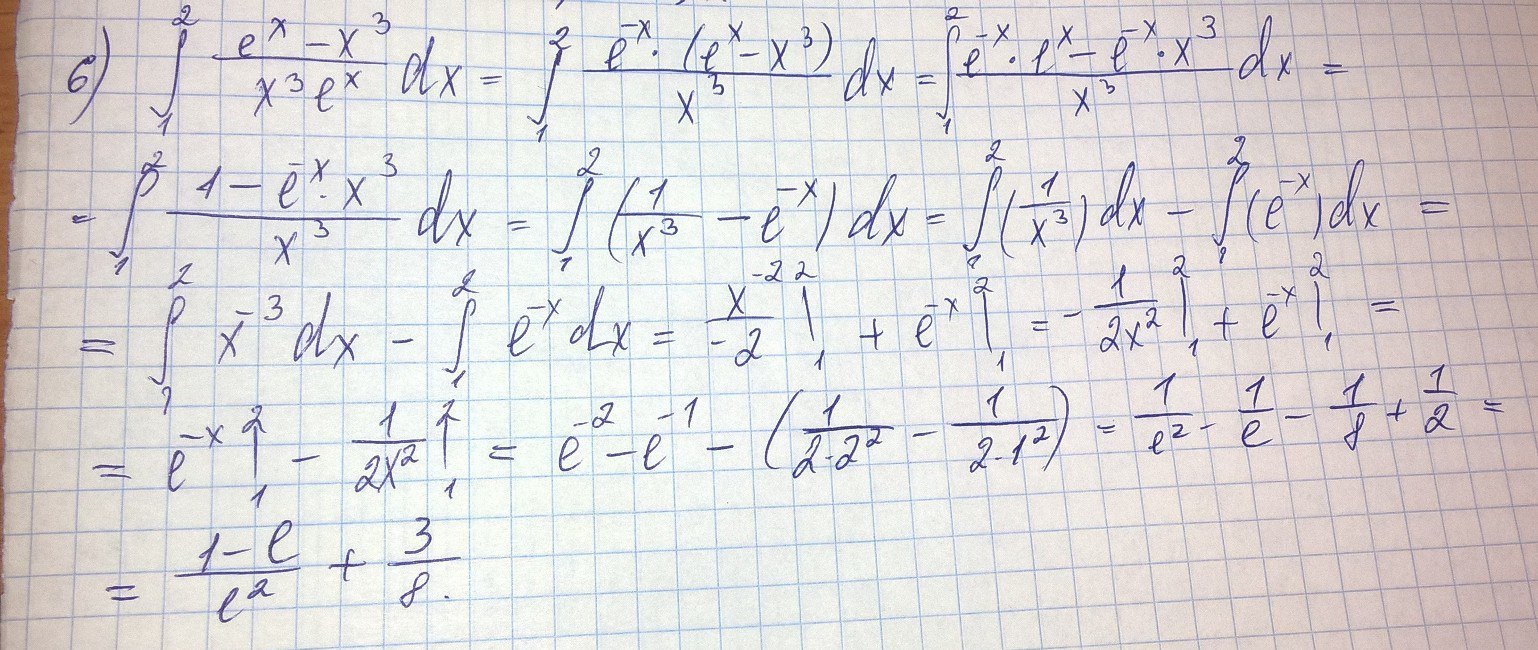
5,6 Вычислите интеграл
Приложения:
Ответы
Ответ дал:
0
Ответ----------------------------------
Приложения:
Вас заинтересует
2 года назад
7 лет назад
7 лет назад
10 лет назад
10 лет назад
10 лет назад
10 лет назад