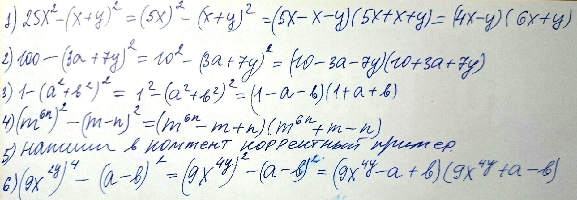
Разложить на множители
1)25х^2-(х+у)^2
2)100-(3а+7у)^2
3)1-(а^2+b^2)^2
4)m^6n^2-(m-n)^2
5)x^4 y^2-(a^2-b^2)^2
6)9x^2y^4-(a-b)^2
Ответы
Ответ дал:
0
Решение в прикрепленном файле
Приложения:
Вас заинтересует
2 года назад
2 года назад
7 лет назад
7 лет назад
10 лет назад
10 лет назад
10 лет назад
10 лет назад