• Предмет: Алгебра
  • Автор: Asler849
  • Вопрос задан 9 лет назад

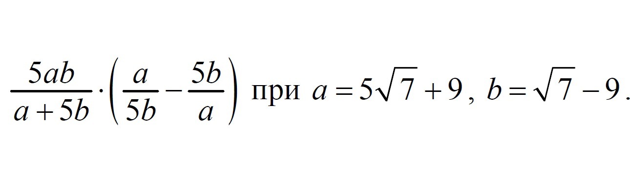
Найти значение выражения.

Приложения:

Ответы

Ответ дал: ВладимирБ
0
Решение смотри в приложении
Приложения:
Вас заинтересует