Ответы
Ответ дал:
0
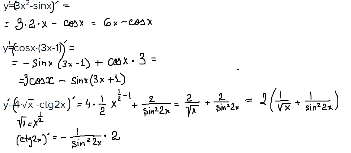
Все по формулам.
В последнем производная сложной функции
В последнем производная сложной функции
Приложения:

Вас заинтересует
2 года назад
2 года назад
7 лет назад
9 лет назад
9 лет назад
10 лет назад