• Предмет: Математика
  • Автор: masahacitasoc
  • Вопрос задан 9 лет назад

ПОМОГИТЕ,ПОЖАЛУЙСТА.
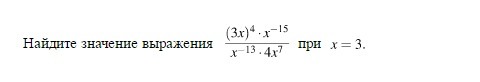
Найдите значение выражения (3х)^4 *x^15 x^-13 * 4x^7 при х=3

Приложения:

Ответа на этот вопрос пока нет. Попробуйте найти его через форму поиска.

Вас заинтересует