Ответы
Ответ дал:
0
1.Используя формулу перехода к новому основанию в обратную сторону, преобразуем:
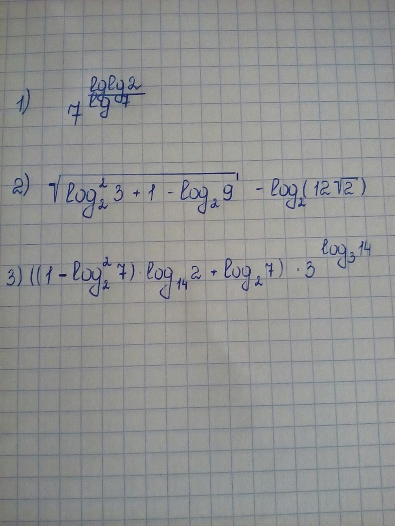
7^(log_7(lg 2)=lg 2
2. = √(log_2^2 3-2log_2 3 _1)-log_2(2^(5/2)·3)=
√((log_2 3-1)^2)-log_2 2^(5/2)-log_2 3=
|log_2 3-1|-5/2-log_2 3=
log_2 3-1-5/2-log_2 3= - 7/2
3. = ((1-log_2^2 7)/log_2 14 +log_2 7)·14
((1-log_2 7)(1+log_2 7)/(log_2 7+1)+log_2 7)·14=
(1-log_2 7+log_2 7)·14= 14
7^(log_7(lg 2)=lg 2
2. = √(log_2^2 3-2log_2 3 _1)-log_2(2^(5/2)·3)=
√((log_2 3-1)^2)-log_2 2^(5/2)-log_2 3=
|log_2 3-1|-5/2-log_2 3=
log_2 3-1-5/2-log_2 3= - 7/2
3. = ((1-log_2^2 7)/log_2 14 +log_2 7)·14
((1-log_2 7)(1+log_2 7)/(log_2 7+1)+log_2 7)·14=
(1-log_2 7+log_2 7)·14= 14
Вас заинтересует
2 года назад
2 года назад
7 лет назад
7 лет назад
10 лет назад
10 лет назад
10 лет назад