Помогите, пожалуйста, в химии не разбираюсь совсем. Буду премного благодарен 
Напишите уравнения реакций, с помощью которых можно осуществить цепочки превращений веществ:
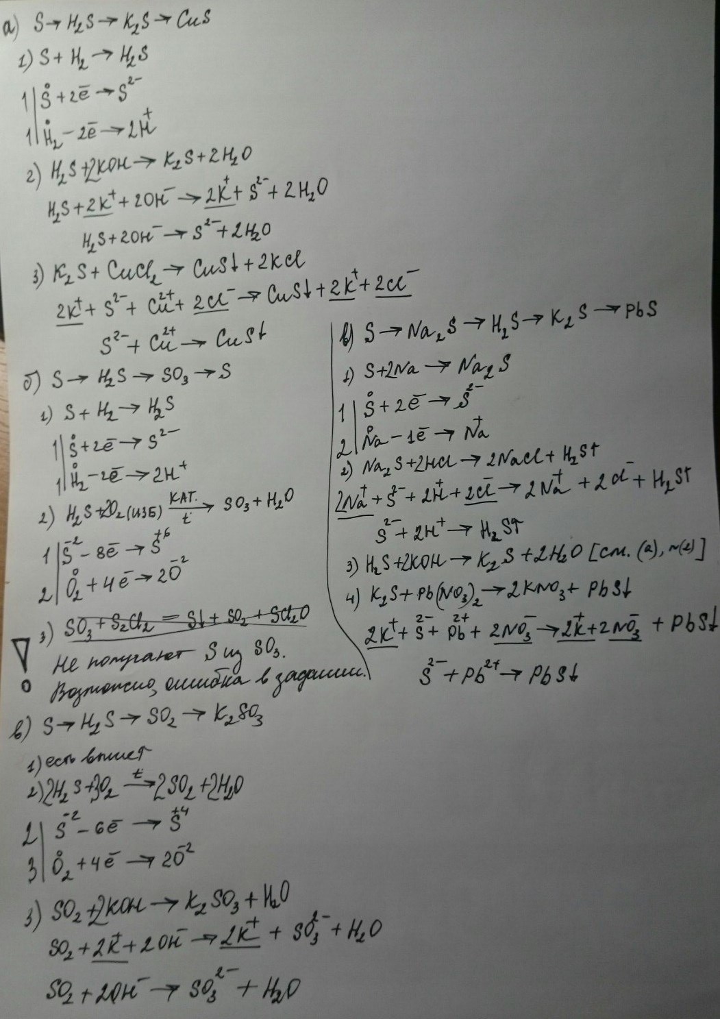
А) Сера-Сероводород- Сульфид калия- Сульфид меди(||);
Б) Сера-сероводород- оксид серы (v|) -сера;
В) сера-сероводород- сернистый газ- сульфит калия;
Г) сера- сульфид натрия- сероводород- сульфид калия-сульфид свинца( || )
Для реакций, протекающих в растворе с участием ионов , составьте ионные уравнения. К уравнениям всех окислительно- восстановительных реакций составьте схему электронного баланса или покажите переход электронов стрелкой.
                        
                            
                            
                    Ответы
                                            Ответ дал: 
                                                                                    
                                        
                                            
                                                
                                                
                                                
                                                    0
                                                
                                            
                                        
                                    
                                        Решение в прикреплённом файле
                                    
                                                Приложения:
                     
                            
                                            Ответ дал: 
                                                                                    
                                        
                                            
                                                
                                                
                                                
                                                    0
                                                
                                            
                                        
                                    
                                        Спасибо большое
                                    
                                        
                                        
                                Вас заинтересует
                
                        2 года назад
                    
                
                        2 года назад
                    
                
                        7 лет назад
                    
                
                        9 лет назад
                    
                
                        9 лет назад
                    
                
                        10 лет назад