• Предмет: Алгебра
  • Автор: zxc125
  • Вопрос задан 9 лет назад

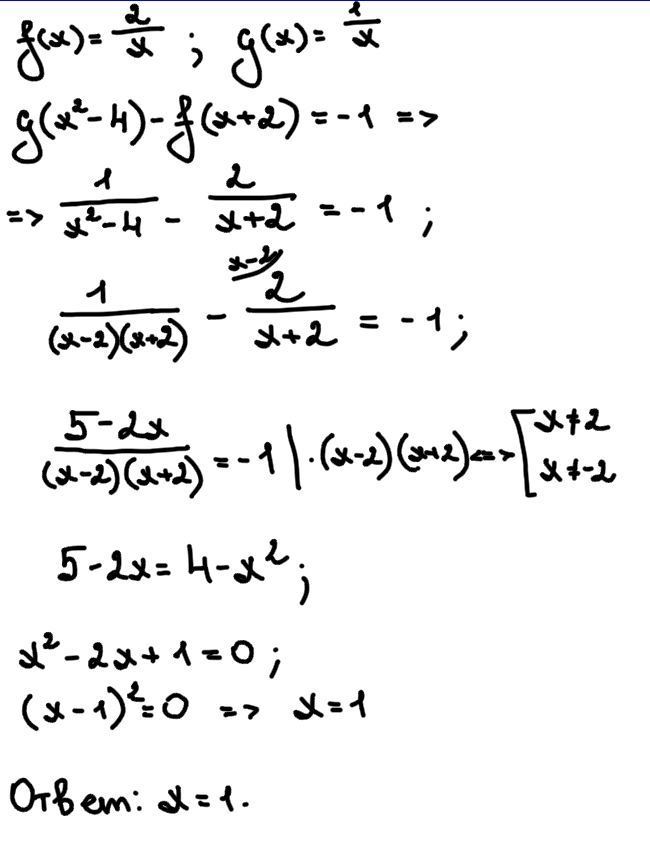
Дам 59 баллов.Помогите пожалуйста!!!!!!Даны функции y= f(x) и y=g(x), где f(x)=2/x , а g(x)= 1/x. при каких значениях выполняется равенство g(x2 - 4)-f(x+2) = -1 ДАМ 50 баллов...Только пожалуйста!

Ответы

Ответ дал: NotMyProblem
0
Решение с ответом на рисунке.
Приложения:
Вас заинтересует