лодка прошла 34 км по течению реки и 39 км против течения потратиив на это столько времени сколько ей требуется чтобы проплыть в стоячей воде 75 км найдите отношение скорости лодуи в стоячей воде к скорости течения
Ответы
Ответ дал:
0
Решение. Обозначим vс (км/ч) скорость лодки в стоячей воде и обозначим vр (км/ч) скорость течения реки.
Учитывая тот факт, что в обеих ситуациях лодка провела в пути одно и то же время, можно составить уравнение: (рис. 1)
то, воспользовавшись формулой (рис. 2)
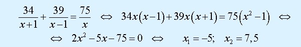
перепишем уравнение в виде (рис. 3)
умножая уравнение на vр , получим:
Ответ: 7,5
Учитывая тот факт, что в обеих ситуациях лодка провела в пути одно и то же время, можно составить уравнение: (рис. 1)
то, воспользовавшись формулой (рис. 2)
перепишем уравнение в виде (рис. 3)
умножая уравнение на vр , получим:
Ответ: 7,5
Приложения:




Ответ дал:
0
Спасибо за помощь.
Вас заинтересует
2 года назад
2 года назад
7 лет назад
7 лет назад
9 лет назад
10 лет назад
10 лет назад