Ответы
Ответ дал:
0
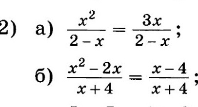
а) х² / 2-х = 3х / 2-х
х²-3х / 2-х = 0
ОДЗ: 2-х≠0, х≠2
х²-3х=0
х(х-3)=0
х₁=0 или х-3=0
х₂=3
Ответ: х = 0; 3
б) х²-2х / х+4 = х-4 / х+4
х²-2х-х+4 / х+4 = 0
ОДЗ: х+4≠0, х≠ -4
х²-3х+4=0
D=9-16= - 7, D<0, корней нет
Ответ: корней нет
х²-3х / 2-х = 0
ОДЗ: 2-х≠0, х≠2
х²-3х=0
х(х-3)=0
х₁=0 или х-3=0
х₂=3
Ответ: х = 0; 3
б) х²-2х / х+4 = х-4 / х+4
х²-2х-х+4 / х+4 = 0
ОДЗ: х+4≠0, х≠ -4
х²-3х+4=0
D=9-16= - 7, D<0, корней нет
Ответ: корней нет
Вас заинтересует
3 года назад
3 года назад
7 лет назад
7 лет назад
10 лет назад
10 лет назад
10 лет назад