Ответы
Ответ дал:
0
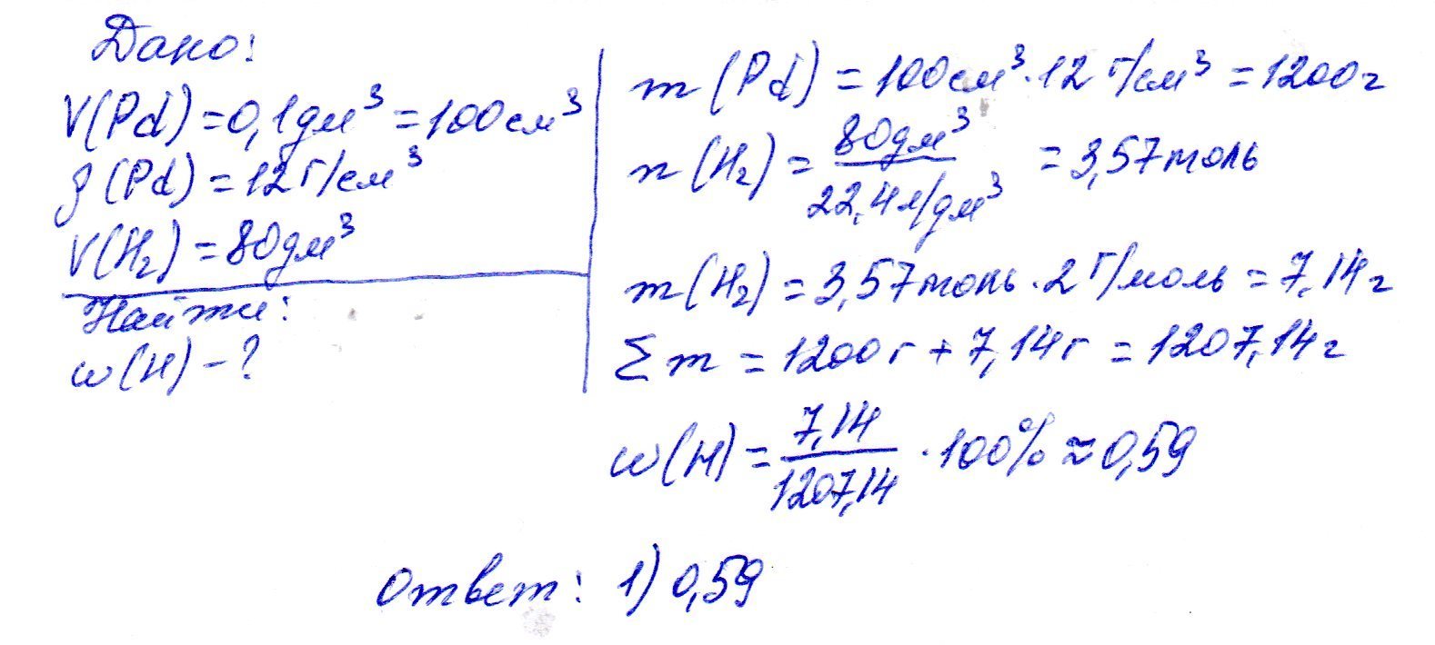
m(Pd)=V*p=100см^3*12г/см^3=1200 г
m(H2)=V/Vm*M=(80дм^3/22,4дм^3/моль)*2г/моль=7,143 г
w(H2)=m/m(Pd)=7,143г/1200г≈0,0059 (0,59%)
m(H2)=V/Vm*M=(80дм^3/22,4дм^3/моль)*2г/моль=7,143 г
w(H2)=m/m(Pd)=7,143г/1200г≈0,0059 (0,59%)
Ответ дал:
0
.........................................................
.........................................................
.........................................................
Приложения:
Вас заинтересует
2 года назад
2 года назад
7 лет назад
7 лет назад
10 лет назад
10 лет назад