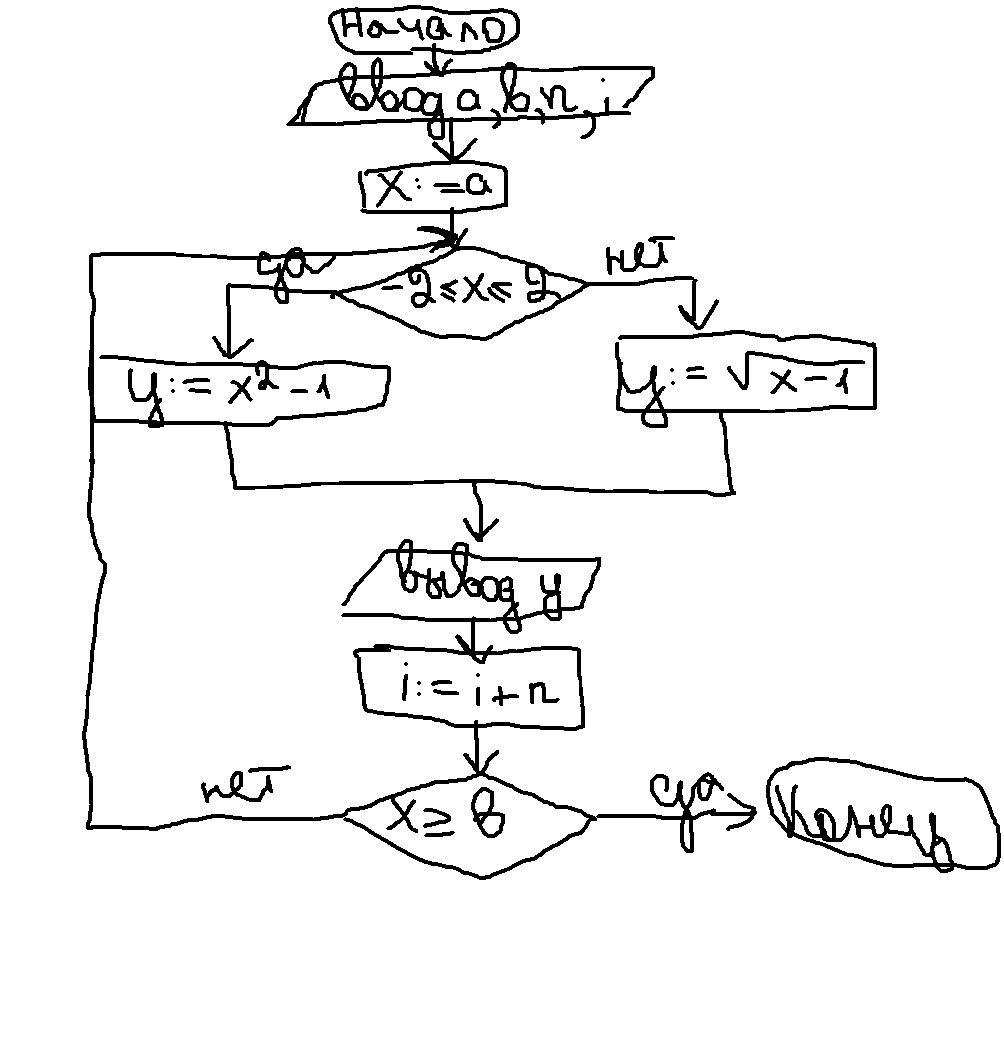
1) Дан массив А(6). Найти сумму и количество положительных элементов, расположенных между минимальным и максимальным элементами. 2) Составьте алгоритм и программу вычисления значений функции на произвольном отрезке с произвольным шагом: y = x2 - 1 - при -2 <= x <= 2; y = (x - 1) - в остальных случаях
Нолвэндэ:
Перед скобкой (х-1) знак корня?
Х=3*А*В*С - 2*В*С + 4*С*D - С*D*Е
A=⎛⎝⎜320N41−121⎞⎠⎟A=(320N41−121), B=⎛⎝⎜2−2N0213−1−3⎞⎠⎟B=(2−2N0213−1−3),C=⎛⎝⎜2N1302−12−1⎞⎠⎟C=(2N1302−12−1),D=⎛⎝⎜N0−13451−12⎞⎠⎟D=(N0−13451−12),E=⎛⎝⎜−N20032−1−12⎞⎠⎟E=(−N20032−1−12)
N=2
Ответы
Ответ дал:
1
1)
program one;
uses crt;
var A: array [1..6] of integer;
i,k,Amin,Amax,S: integer;
begin
readln (A[i]);
Amax:=A[1];
k:=1;
for i:=2 to 6 do begin
if A[i]>Amax then begin
k:=i;
Amax:=A[i];
end;
end;
Amin:=A[1];
k:=1;
for i:=2 to 6 do begin
if A[i]<Amin then begin
k:=i;
Amin:=A[i];
end;
end;
S:=0;
for i:=1 to 6 do begin
if (A[i]mod 2=0) and (Amax>A[i]) and (Amin<A[i]) then
S:=S+A[i];
end;
writeln ('Сумма положительных чисел между минимальным и максимальным значениями равна: ', S);
end.
2)
program two;
uses crt;
var x,a,b,i,n: integer;
y: real;
begin
readln (a,b,i,n);
x:=a;
repeat
if -2<=x<=2 then
y:=sqr(x)-1
else
y:=sqrt(x-1);
writeln (y:3:4);
i:=i+n;
until x>=b;
end.
program one;
uses crt;
var A: array [1..6] of integer;
i,k,Amin,Amax,S: integer;
begin
readln (A[i]);
Amax:=A[1];
k:=1;
for i:=2 to 6 do begin
if A[i]>Amax then begin
k:=i;
Amax:=A[i];
end;
end;
Amin:=A[1];
k:=1;
for i:=2 to 6 do begin
if A[i]<Amin then begin
k:=i;
Amin:=A[i];
end;
end;
S:=0;
for i:=1 to 6 do begin
if (A[i]mod 2=0) and (Amax>A[i]) and (Amin<A[i]) then
S:=S+A[i];
end;
writeln ('Сумма положительных чисел между минимальным и максимальным значениями равна: ', S);
end.
2)
program two;
uses crt;
var x,a,b,i,n: integer;
y: real;
begin
readln (a,b,i,n);
x:=a;
repeat
if -2<=x<=2 then
y:=sqr(x)-1
else
y:=sqrt(x-1);
writeln (y:3:4);
i:=i+n;
until x>=b;
end.
Приложения:

Вас заинтересует
1 год назад
1 год назад
2 года назад
2 года назад
3 года назад
3 года назад
8 лет назад