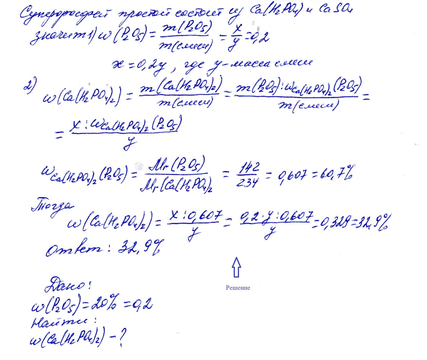
обчисліть масову частку Ca(H2PO4)2 у зразку суперфосфату, якщо в ньому масова частка фосфор(5)оксиду становить 20%
Ответы
Ответ дал:
0
.......................................................
.................................................
.................................................
Приложения:

Вас заинтересует
2 года назад
7 лет назад
7 лет назад
9 лет назад
10 лет назад